Comments on Entropy Economics by Galbraith and Chen
The greatest compliment that I can to give Entropy Economics is that the vast majority of today’s economists would not recognize it as a work on economics at all. There’s far too much about Nature in it! There’s nothing about how agents form their preferences! And there is no proof of the equilibrium conditions! Where’s the economics???
In other words, Entropy Economics is a work that develops at least part of the new paradigm that economics so desperately needs.
This need commenced over a century ago, when 2 pure mathematicians (Perron in 1907 and Frobenius in 1912) proved a theorem on the properties of matrices, and also inadvertently proved that the Walras’s general equilibrium was unstable. Walras’ tatonnement process would never converge to equilibrium, and therefore, in Walras’ model, trade would never take place. So, goodbye Walrasian General Equilibrium!
Next, Partial Equilibrium was unexpected collateral damage to empirical research by the “Oxford Economic Group” in the 1930s. The Group was supposed to enable academic economists to collaborate with successful businessmen, to improve both economic theory and economic practice. But the beliefs and practices of one group generated incredulity in the other. The Marshallian Supply Curve was the collateral damage here, when the economists ultimately realised that real-world firms have constant or falling marginal costs, in utter contradiction of the theory of diminishing marginal productivity (Lee 1998; Andrews 1949; Wilson and Andrews 1951). So, goodbye Marshall’s upward-sloping Supply Curve!
In the mid-1950s, one of the few mainstream economists for whom Galbraith expresses affection—Paul Samuelson—discovered that the only way that the market demand curve could obey the “Law of Demand”, and slope down in price, was if a perfect redistribution of wealth occurred before trade commenced:
What does this mean specifically for policy? It means that just before the final equilibrium is struck, you must introduce lump-sum transfers (either of abstract purchasing power or of … endowments) that ensure ending up with equal social marginal utilities (Samuelson 1956, p. 13. Emphasis added)
A downward-sloping market demand curve requires socialism? So, goodbye the Market Demand Curve! A foundations-obsessed intellectual paradigm has no foundations at all.
Therefore, Neoclassical economics should long ago have joined Ptolemy’s Geocentrism, and the Phlogiston theory of combustion, as a manifestly false and discarded paradigm, of no worth in itself, except as a stage en route to today’s relative enlightenment.
But that has not happened. In fact, the type of analysis that typifies modern Neoclassical economics is far more extreme in its equilibrium, production function, and agent behaviour foundations than was the Neoclassical economics of its founders. Were they reborn today, Walras perhaps, and certainly Jevons and Marshall, would disown their descendants. They saw equilibrium methods as a stopgap until genuine dynamic methods—and indeed, complex systems methods—were available:
The real condition of industry is one of perpetual motion and change. Commodities are being continually manufactured and exchanged and consumed. If we wished to have complete solution to the problem in all its natural complexity, we should have to treat it as a problem of motion—a problem of dynamics. But it would surely he absurd to attempt the more difficult question when the more easy one is yet so imperfectly within our power. (Jevons 1888, p. 93. Emphasis added)
To get the statical solution from the dynamical, all that is needed is to make the relative velocities of the things under study equal to zero, and thus reduce them to relative rest. But the statical solution has claims of its own. It is simpler than the dynamical; it may afford useful preparation and training for the more difficult dynamical solution; and it may be the first step towards a provisional and partial solution in problems so complex that a complete dynamical solution is beyond our attainment. (Marshall 1898. Pp. 37-38. Emphasis added)
Today’s Neoclassical economists have turned a stop-gap methodology into a creed, and equilibrium from an analytic convenience for a more primitive time, into a belief about the actual nature of capitalist economies. How ridiculous, to describe the most dynamic, chaotic and evolutionary economic system in human history, as tending towards equilibrium, let alone being in it! And also how absurd to describe “the typical person” as someone who plans “effectively with an infinite horizon”,[1] to escape the reality that, as Jim Morrison once put it, “the future’s uncertain and the end is always near”.
The so-called discipline of economics is therefore the most undisciplined discipline of all—but unfortunately, it didn’t undergo the early death that tragically took the undisciplined Jim Morrison. Instead, it has turned itself into a caricature of The Picture of Dorian Grey. Behind the superficially young visage of a DSGE model hides the aged, disfigured and arthritic undead corpse of Marshall’s Scissors.
The problem with Economics is that it does not undergo the generational change that leads to scientific revolutions in actual sciences. Instead, True Believers hang onto the utopian vision it has of capitalism by making all the more crazy, ridiculous assumptions, to circumvent its many logical conundrums and empirical failures.
If a new paradigm is to develop, it must come from outside the confines of the mainstream, and this is where Entropy Economics makes its strongest contributions. Galbraith’s erudite staccato prose weaves insights from biology and thermodynamics into the philosophical foundations of a realist, biophysical economics. Chen’s thermodynamics-based mathematics turns those foundations into a novel empirical and easily quantifiable theory of value.
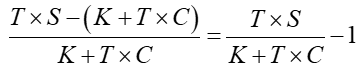
The clever basis of their theory of value is to define scarcity in terms of the percentage of people p of a potential market of size M who already possess the commodity produced for that market. They then relate this to the number of producers b (for “base”) in an industry so that “the unit value for the product is ” (Galbraith and Chen 2025, p. 95).
I have some reservations about the formula—notably how do you define b? Do you use the multitude of producers in a typical industry—which, as Axtell established, is typified by a Power-Law distribution (Axtell 2001)? Or do you use a rule based on number of producers that account for some substantial proportion (say, 40%) of total industry output? But that said, once a method is chosen, the formula provides a way to derive not “merely” a quantitative measure of scarcity—something that Neoclassical economics has never developed, nor will it ever—but also a way to relate this to fixed costs, variable costs, and firm level revenue. The odd odd assumption does turn up at this stage:
Suppose the fixed cost for each business is K and variable cost of production is C. Assume each business gets the same amount of revenue. The revenue and total cost for each business are
and
respectively. (Galbraith and Chen 2025, p. 96. Emphasis added)
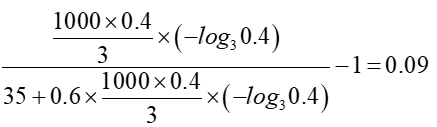
But the outcome is the capacity to turn numerical values for M, b, p, K and C into a numerical estimate of the average rate of profit of an industry:
Suppose M = 1,000, p = 0.4, and b = 3. The fixed cost of each business is 35 and the variable cost of each business is 60 percent of the revenue. The rate of return for each business is
(Galbraith and Chen 2025, p. 96).
Galbraith and Chen move on from this fundamental concept of economic value to a treatment of economics as inherently a dynamic and time-based process. They avoid the optimization and efficiency obsessions—that are, unfortunately, not unique to Neoclassical economists—to note that success must be judged over time, rather than at a point in time:
we hope to understand why a system does well or fails. For this purpose, understanding our objective measure—and why “rate of return over time” is different from “utility maximization at all moments and at all costs”—is most useful. We judge success over time. A successful person, firm, or country has arrangements that promote stability over time, even though not every impulse can be, or should be, satisfied at each moment. This is the most basic common sense, familiar to every parent and every business manager. Only small children and economists sometimes take a different view. (Galbraith and Chen 2025, p. 132. Emphasis added)
They also develop a theory of production which is fully grounded in the thermodynamic reality that GDP is fundamentally energy turned into useful work (Keen, Ayres, and Standish 2019), and that work necessarily generates waste. Itoh’s calculus inevitably turns up, and from it they derive a theory of production in which unappreciated and ignored unknowns in Neoclassical economics become arguments in production: uncertainty, available resources, increasing returns, and large fixed costs (Blinder 1998, p. 101: “fixed costs appear to be more important in the real world than in economic theory”).
The arguments to their model are the Unit value of output (S), Fixed cost (K) the Discount rate (R), the Duration of an investment (T), Variable cost (C) and Uncertainty (Σ),[2] from which they derive the rate of return:
(Galbraith and Chen 2025, p. 156)
Galbraith and Chen thus give the nascent new paradigm a quantifiable theory of value, and a thermodynamic conception of production—something other physicists interested in economics have also provided, such as Garrett (Garrett, Grasselli, and Keen 2021; Garrett, Grasselli, and Keen 2020; Garrett 2015, 2014, 2012; Garrett 2011).
That leaves much else to be done before a complete paradigm is developed, and Galbraith and Chen acknowledge this: “much more work needs to be done to provide a more accurate and detailed understanding of the implications of our theory for economic and social behavior” (Galbraith and Chen 2025, p. 180 ). Fortunately, much of that work is being done by other compatible researchers. I would single out here the forthcoming book Ergodicity Economics by Ole Peters and Alexander Adamou (Peters and Adamou 2025), and—immodestly—my own work.
My most recent books (Keen 2024; Keen 2021) show that fundamental models in Post-Keynesian economics—Goodwin’s Growth Cycle (Goodwin 1967), Minsky’s Financial Instability Hypothesis (Minsky 1982), and Mosler’s MMT, though in a complex systems framework (Keen 1995, pp. 626-632)—can be derived from strictly true macroeconomic definitions, combined with reasonable and realistic simplifying assumptions to link the system states together.
Peters and Adamou’s work provides both a critique of Neoclassical economics and finance, and an alternative approach to economics which, I think, is even more fundamental than both Galbraith and Chen’s work, and my own.
The Original Sin of Economics was committed by Ricardo, when he devised the theory of comparative advantage, his shell and pea trick to support the abolition of the Corn Laws (Ricardo 1817, pp. 133-137). By framing international trade in terms of the allocation of the existing workforce, while ignoring completely that industries require capital equipment, that machinery cannot be switched from one industry to another—you cannot use a wine press to make cloth, nor a Spinning Jenny to make wine—and that investment that is needed to develop an industry over time, he set off economics on the road to the ergodic fallacy. This is the belief that what applies as a probability distribution at a point in time is also a sensible development strategy through time.[3]
As Peters wrote:
The ergodic hypothesis is a key analytical device of equilibrium statistical mechanics. It underlies the assumption that the time average and the expectation value of an observable are the same. Where it is valid, dynamical descriptions can often be replaced with much simpler probabilistic ones — time is essentially eliminated from the models. The conditions for validity are restrictive, even more so for non-equilibrium systems. Economics typically deals with systems far from equilibrium — specifically with models of growth. It may therefore come as a surprise to learn that the prevailing formulations of economic theory — expected utility theory and its descendants — make an indiscriminate assumption of ergodicity. (Peters 2019, p. 1216)
Nowhere is this more obvious, nor more destructive, than in how economists have trivialized the dangers of climate change, by assuming that the statistical relationship between GDP and temperature today can be used to predict the impact of climate change over time:
the statistical approach… is based on direct estimates of the welfare impacts, using observed variations (across space within a single country) in prices and expenditures to discern the effect of climate. Mendelsohn assumes that the observed variation of economic activity with climate over space holds over time as well; and uses climate models to estimate the future effect of climate change. (Tol 2009, p. 32. Emphasis added)
The variation of GDP across space on the planet today is relatively minor with respect to variation of temperature. Since the temperature increases postulated by climate scientists are much less than the temperature differences observed across the planet—a mere 10°C max of global warming (Hansen et al. 2023), versus a 40°C variation between the average temperatures of inhabited regions of the planet today—Neoclassical economists are confident that 2-6°C of global warming will have little effect on the capacity for continued economic growth.
A survey of “climate change economists” found that their mean expectation of the economic impact of 7°C of warming was that it would reduce GDP two centuries hence by 25%—compared to what GDP would have been in the complete absence of global warming (Howard and Sylvan 2021, pp. 22-23). This amounts to a fall in the annual rate of economic growth of 0.14%—a figure that only barely exceeds the accuracy with which change in GDP is measured today. The formula, with Damage being the fractional fall in GDP, and Years being how far in the future the damage estimate is calibrated, is:
This ergodic assumption will in all likelihood lead to the collapse of capitalism, since scientists—who, unlike economists, understand that global warming is non-ergodic (Drótos, Bódai, and Tél 2016)—expect civilization to collapse, and humanity to possibly go extinct, at much lower levels of global warming:
The current risk category of dangerous warming is extended to more categories, which are defined by us here as follows: >1.5°C as dangerous; >3°C as catastrophic; and >5°C as unknown, implying beyond catastrophic, including existential threats. (Xu and Ramanathan 2017, p. 10315. Emphasis added)
The great tragedy of the new paradigm, to which Galbraith and Chen have made an enormous contribution, is that it may only be fully formed when the subject of its study, the human sedentary industrial capitalist globalized economy, is in the process of collapse.
This is all the more reason to accelerate the development of this paradigm. Our leaders will be in shock as these events unfold. A key antidote to that shock will be a new way of understanding how we got into this predicament in the first place. Galbraith and Chen have provided one of the key ingredients needed for this antidote.
In closing, to paraphrase Jamie’s famous father, you will find much wisdom in this book, and none of it is conventional. But it is high time that it did become the convention.
References
Andrews, P. W. S. 1949. 'A reconsideration of the theory of the individual business: costs in the individual business; the determination of prices', Oxford Economic Papers: 54-89.
Axtell, Robert L. 2001. 'Zipf Distribution of U.S. Firm Sizes', Science (American Association for the Advancement of Science), 293: 1818-20.
Barro, Robert J. 1989. 'The Ricardian Approach to Budget Deficits', The Journal of Economic Perspectives, 3: 37-54.
Blinder, Alan S. 1998. Asking about prices: a new approach to understanding price stickiness (Russell Sage Foundation: New York).
Drótos, Gábor, Tamás Bódai, and Tamás Tél. 2016. 'Quantifying nonergodicity in nonautonomous dissipative dynamical systems: An application to climate change', Physical review. E, 94: 022214.
Galbraith, James K., and Jing Chen. 2025. Entropy Economics: The Living Basis of Value and Production (University of Chicago Press: Chicago).
Garrett, T. J., M. R. Grasselli, and S. Keen. 2021. 'Identification of a 50-year scaling relating current global energy demands to historically cumulative economic production', Earth Syst. Dynam. Discuss., 2021: 1-9.
Garrett, T.J. 2012. 'No way out? The double-bind in seeking global prosperity alongside mitigated climate change', Earth System Dynamics, 3: 1-17.
———. 2014. 'Long-run evolution of the global economy: 1. Physical basis', Earth’s Future, 2: 127–51.
———. 2015. 'Long-run evolution of the global economy II: Hindcasts of innovation and growth', Earth System Dynamics, 6: 655–98.
Garrett, Timothy J. 2011. 'Are there basic physical constraints on future anthropogenic emissions of carbon dioxide?', Climatic Change, 104: 437-55.
Garrett, Timothy J., Matheus R. Grasselli, and Stephen Keen. 2020. 'Past production constrains current energy demands: persistent scaling in global energy consumption and implications for climate change mitigation'.
Goodwin, Richard M. 1967. 'A growth cycle.' in C. H. Feinstein (ed.), Socialism, Capitalism and Economic Growth (Cambridge University Press: Cambridge).
Hansen, James E, Makiko Sato, Leon Simons, Larissa S Nazarenko, Isabelle Sangha, Pushker Kharecha, James C Zachos, Karina von Schuckmann, Norman G Loeb, Matthew B Osman, Qinjian Jin, George Tselioudis, Eunbi Jeong, Andrew Lacis, Reto Ruedy, Gary Russell, Junji Cao, and Jing Li. 2023. 'Global warming in the pipeline', Oxford Open Climate Change, 3.
Howard, Peter, and Derek Sylvan. 2021. "Gauging Economic Consensus on Climate Change." In. New York: Institute for Policy Integrity, New York University School of Law.
Jevons, William Stanley. 1888. The Theory of Political Economy ( Library of Economics and Liberty: Internet).
Keen, S. 2024. "Rebuilding Economics from the Top Down." In. Budapest: Budapest Centre for Long-Term Sustainability & Pallas Athene Publishing House.
Keen, Steve. 1995. 'Finance and Economic Breakdown: Modeling Minsky's 'Financial Instability Hypothesis.'', Journal of Post Keynesian Economics, 17: 607-35.
———. 2021. The New Economics: A Manifesto (Polity Press: Cambridge, UK).
Keen, Steve, Robert U. Ayres, and Russell Standish. 2019. 'A Note on the Role of Energy in Production', Ecological Economics, 157: 40-46.
Lee, Frederic S. 1998. Post Keynesian Price Theory (Cambridge University Press: Cambridge).
Marshall, Alfred. 1898. 'Distribution and Exchange', The Economic Journal, 8: 37-59.
Minsky, Hyman P. 1982. Can "it" happen again? : essays on instability and finance (M.E. Sharpe: Armonk, N.Y.).
Peters, Ole. 2019. 'The ergodicity problem in economics', Nature Physics, 15: 1216-21.
Peters, Ole, and Alexander Adamou. 2025. Ergodicity Economics (London Mathematical Laboratory: London).
Ricardo, David. 1817. On the Principles of Political Economy and Taxation (Library of Economics and Liberty: Indianapolis).
Samuelson, Paul A. 1956. 'Social Indifference Curves', The Quarterly Journal of Economics, 70: 1-22.
Schumpeter, Joseph A. 1954. History of economic analysis / Joseph A. Schumpeter / edited from manuscript by Elizabeth Boody Schumpeter (London : Allen & Unwin: London).
Tol, Richard S. J. 2009. 'The Economic Effects of Climate Change', The Journal of Economic Perspectives, 23: 29–51.
Wilson, Thomas, and P. W. S. Andrews. 1951. Oxford studies in the price mechanism / edited by T. Wilson and P.W.S. Andrews (Clarendon Press: Oxford).
Xu, Y., and V. Ramanathan. 2017. 'Well below 2 °C: Mitigation strategies for avoiding dangerous to catastrophic climate changes', Proceedings of the National Academy of Sciences of the United States of America, 114: 10315-23.
[1] Barro asserted that the arguments against the concept of rational expectations fail “if the typical person is already giving to his or her children out of altruism… a network of intergenerational transfers makes the typical person a part of an extended family that goes on indefinitely. In this setting, households capitalize the entire array of expected future taxes, and thereby plan effectively with an infinite horizon.” (Barro 1989, p. 38. Emphasis added)
[2] Uncertainty turns up in earlier formulas (Galbraith and Chen 2025, Formulas 9 and 10, p. 155).
[3] I believe that Ricardo was aware of the con-job he was executing with the theory of comparative advantage. As Schumpeter asserted, “Ricardo's was not the mind that is primarily interested in either fundamentals or wide generalizations. The comprehensive vision of the universal interdependence of all the elements of the economic system that haunted Thunen probably never cost Ricardo as much as an hour's sleep” (Schumpeter 1954, p. 472). Wanting to prove that the Corn Laws should be abolished, Ricardo ignored that machinery was different to monetary capital, and gave an example that ignored the need for machinery to produce output. When he justified this, he spoke not in terms of moving machinery from one industry to another—which is, speaking in terms of the specialized machinery that every industry needs, impossible—but in terms of moving capital (physical or monetary) between provinces: “The difference in this respect, between a single country and many, is easily accounted for, by considering the difficulty with which capital moves from one country to another, to seek a more profitable employment, and the activity with which it invariably passes from one province to another in the same country” (Ricardo 1817, pp. 135-136). Though Ricardo was more than willing to employ what Schumpeter dubbed “The Ricardian Vice” (Schumpeter 1954, p. 473), he was not willing to expose himself to ridicule over it—or so it seems.






Pretty good review, I definitely need to check out this book and the others you listed. Have you ever read Evolution as Entropy by Brooks and Wiley? They’re two biologists who wanted to similar things to biology as you are doing to economics. I’m particularly interested in the relation between the two subjects myself.